
Standard EN 673 specificira metod računanja radi određivanja koeficijenta prolaza toplote ostakljenje sa ravnim i paralelnim površinama. Ovaj standard se primenjuje na neprevučena stakla (uključujući staklo sa strukturisanim površinama npr. staklo sa strukturalnim šablonom), prevučeno staklo i materijale koji nisu transparentni u infracrvenom spektru, kao što je slučaj sa proizvodima od soda staklenih proizvoda, borosilikatnog stakla i keramičnog stakla. Primenjuje se i na višestruka ostakljenja koja se sastoje od takvih stakala i/ili materijala. Ne primenjuje se za višestruka ostakljenja koja uključuju ploče unutar gasnog prostora ili folija koje su transparentne u infracrvenom spektru. Procedure specificirane u ovom Evropskom standardu određuju U vrednost (prolaz toplote) u centralnoj oblasti ostakljenja.
Nisu uključeni efekti ugaonih oblasti zbog toplotnog mosta kroz distantnu lajsnu zalivene ostakljene jedinice, ili kroz prozorski ram. Dalje, nije uzet u obzir ni prolaz energije usled sunčevog zračenja. Uticaj ukrasnih lajsni i drugih lajsni je isključena iz obima ovog standarda.
Standard za računanje ukupne U vrednosti prozora, vrata i roletni (pogledati EN ISO 40077-1[1]) daje normative referenci za računanje U vrednosti za ostakljene komponente u skladu sa ovim standardima.
U cilju poređenja proizvoda, vertikalni položaj je specificiran. U vrednosti su računate koristeći iste procedure za druge namere, naročito za određivanje:
– toplotnih gubitaka kroz ostakljenje,
– dobitke toplote u letnjem periodu,
– kondenzaciju na ostakljenim površinama,
efekat apsorbovanog solarnog zračenja kod određivanja solarnog faktora [2].
Reference napravljene u [3], [4] i [5] ili drugom Evropskom standardu je postupak za računanje toplotnih gubitaka za primenu određivanja U vrednosti pomoću ovog standarda. Procedura za određivanje emisivnosti je data u EN 12898.
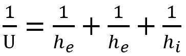
1. U Vrednost
Osnovni parametar ostakljenja koji karakteriše prolaz toplote je U-vrednost, koja pokazuje gustinu prolaza toplote po m² površine pri temperaturnoj razlici od 1K sa obe strane okruženja U vrednost je izražena u W/m²K.
U vrednost je data sledećom formulom

gde su:
he i hi– spoljni i unutrašnji koeficijenti prelaza toplote,
ht– ukupna toplotna provodljivost ostakljenja

gde je:
hs – toplotna provodljivost svakog gasnog prostora,
N – broj gasnih prostora
dj – debljina svakog sloja materijala
dj – toplotna otpornost svakog materijala (toplotna otpornost stakla =1,0 mK/W)
M – broj slojeva materijala
hs,k = hr,k + hg,k (3)
gde je:
hs,k – prenos toplote k prostora
hr,k – provođenje zračenjem
hg,k – U vrednost gasa
1.1 Provođenje zračenjem hr
Provođenjem zračenjem je izraženo pomoću:
(4)
gde je:
σ – Stefan Bolcmanova konstanta
Tm,k – srednja apsolutna temperatura gasnog prostora
ε₁k i ε₂k – korigovane emisivnosti površina koje povezuju prostor između panela na Tmk
1.2 Provođenje gasa
Provođenje gasa je izraženo pomoću:

gde je:
Sk – širina gasnog k-tog prostora
λ- toplotna provodljivost k-tog gasa
Nu – Nuseltov broj
(6)
gde je:
A – konstanta
Gr – Grashofov broj
Pr – Prandlov broj
n – eksponent
(7)

gde je:
ΔT – razlika temperatura između staklenih površina koje okružuju gasni prostor
ρ – gustina
μ – dinamički viskozitet
c – specifični toplotni kapacitet
Nuseltov broj se izračunava iz jednačine (6). Ako je Nu manji od 1, tada se jedinična vrednost koristi za Nu u jednačini (5).
1.3 Vertikalno ostakljenje
Za vertikalno ostakljenje:
A – iznosi 0,035
n – iznosi 0,38
1.4 Horizontalno ostakljenje i ostakljenje pod uglom
Za horizontalno ostakljenje ili ostakljenje pod uglom i protok toplote ka gore poboljšan je naglašenom konvekcijom.
Ovaj efekat se razmatra zamenom sledećih vrednosti A i n u jednačini (6).
Horizontalni prostor A = 0,16; n = 0,28
Prostor pod uglom 45º A = 0,10; n = 0,31
Za srednje vrednosti uglova odgovara linearna interpolacija. Kada je pravac protoka toplote na dole, konvekcija se smatra neodgovarajućom za praktične slučajeve, a u jednačini (5) vrši se zamena Nu = 1.
2. Osnovne osobine materijala
2.1 Emisivnost
Korigovane emisivnosti površine koje okružuju gasni prostor služe za izračunavanje provođenja zračenjem hr u jednačini (4).
Za neprevučene soda staklene površine, ili za soda staklene površine sa prevlakom koja nema uticaja na emisivnost koristi se korigovana emisivnost 0,837.
Napomena 1: Ista vrednost se može koristiti za neprevučeno borosilikatno staklo.Za ostale prevučene površine, normalna emisivnost se određuje infracrvenim spektrometrom u skladu sa EN 12898. Korigovana emisivnost se određuje iz normalne emisivnosti u skladu sa EN 12898.
Napomena 2: Dve različite definicije emisivnosti se teoretski moraju koristiti za opisivanje izmene zračenjem između:Staklenih površina koje su u ostakljenju okrenute jedna prema drugoj;Staklene površine okrenute ka prostoriji. Međutim u praksi su numeričke razlike zanemarljivo male. Tako korigovane emisivnosti opisuju oba tipa izmene toplote sa odgovarajućom aproksimacijom.
Napomena 3: Za laminirana stakla i laminirana sigurnosna stakla gde je prevlaka sa niskom emisivnošću u direktnom kontaktu sa međuslojem, efekat prevlake sa donjom emisivnošću je poništen, u članu U vrednosti.
2.2 Osobine gasa
Potrebne su sledeće osobine gasa koji popunjava prostor između stakla:
– provođenje toplote λ
– gustina q
– dinamički viskozitet μ
– specifični toplotni kapacitet c
Odgovarajuće vrednosti su zamenjene u jednačinama (7) i (8) za Grashofov i Prandlov broj, a Noseltov broj je određen iz jednačine (6).
Ako je Nuselfov broj veći od 1 to naznačava da se događa konvekcija koja poboljšava količinu protoka toplote.
Ako je izračunati Nuselfov broj manji od 1, to znači da se protok toplote u gasu dešava samo pomoću provodljivosti, a Nuselfovom broju je data granična vrednost 1. Zamenom u jednačini (5) dobija se provođenje gasa hg.
Vrednosti osobina gasa za različite gasove koji se koriste u ostakljenim jedinicama dati su u tabeli 1.
Za sve praktične smeše gasova, osobine gasova su proporcionalne odnosu zapreminskog udela F1, F2,…, sa odgovarajućom aproksimacijom:
Gas 1: F1, Gas 2; F2 itd.
P = P1 • F1 + P2 • F2 (9)
gde P predstavlja relevantnu osobinu: provođenje toplote, gustina, viskoznost ili specifični toplotni kapacitet.
*Standardni granični uslovi
Napomena: Korišćenje SF6 gasa je zabranjeno u nekim delovima sveta, uključujući Evropsku uniju. Iz tog razloga osobine gasa se nekada primerno daju iz namere istorijskog poređenja.
2.3 Infracrvena apsorpcija gasa
Neki gasovi apsorbuju infracrveno zračenje u opsegu od 5μm. U slučajevima gde se određeni gas koristi u kombinaciji sa prevlakom korigovane emisivnosti manje od 0,2 ovaj efekat se zanemaruje, zbog niske gustine neto infracrve- nog fluksa zračenja.
Za druge slučajeve U vrednosti mora biti merena u skladu sa EN 647 ili 675, ako je potrebno uzeti u obzir moguće poboljšanje.
3. Spoljašnji i unutrašnji koeficijent prelaza toplote
3.1 Spoljašnji koeficijent prelaza toplote he
Spoljašnji koeficijent prelaza toplote he je funkcija brzine vetra blizu ostakljenja, emisivnosti i ostalih klimatskih faktora.
Za obična vertikalna ostakljenja vrednost he je standardizovana na 23 W/(m²K), radi poređenja U vrednosti ostakljenja.
Napomena: Recipročna vrednost 1/he je 0,04 m² K/W, izraženo na dve decimale.
Ova procedura ne uzima u obzir poboljšanje U vrednosti zbog prisustva spoljno izloženih prevučenih površina sa emisivnošću nižom od 0,837. Vrednosti he za nevertikalne površine su navedene u [3].
3.2 Unutrašnji koeficijent prelaza toplote hi
Unutrašnji koeficijent prelaza toplote hi dat je sledećom formulom.
hi = hr + hc (10)
gde je:
hr – unutrašnji radijacioni koeficijent prenosa toplote
hc – unutrašnji konvektivni koeficijent prenosa toplote
Provođenje zračenjem za neprevučene soda staklene površine iznosi 4,4 W/(m²K).
Ako unutrašnja površina ostakljenja ima nižu emisivnost, provođenje zračenjem je dato pomoću:

gde je:
ε – korigovana emisivnost prevučene površine
0,837 – korigovana emisivnost neprevučenog soda stakla
To je primenljivo samo ako na prevučenoj površini ne postoji kondenzacija. Procedura za određivanje korigovane emisivnosti prevlake data je u EN 12898.
Za slobodnu konvekciju vrednost hc iznosi 3,6 W/(m²K). U slučajevima gde je ispod ili iznad prozora postavljen grejač sa ventilatorom, ova vrednost će biti veća ako vazduh struji preko prozora.
Za vertikalne soda staklene površine i slobodnu konvekciju:
hi = 4,4 + 3,6 = 8,0 W/m²K
što je standardizovano za svrhe poređenja U vrednosti ostakljenja.
Napomena: Recipročna vrednost 1/hi za soda staklene površine je 0,13 W/m²K izraženo na dve decimale. Referentna vrednost za hi nevertikalnih površina su date u [3].
3.3 Projektne vrednosti
Upotreba dobijene vrednosti možda nije uvek dovoljno precizna za primenu U vrednosti ostakljenja pri projektovanju zgrade. U posebnim okolnostima projektovana vrednost se mora odrediti korišćenjem EN 673. Projektne U vrednosti koje odgovaraju položaju ostakljenja i uslovima okruženja moraju biti određene korišćenjem ispravnih graničnih vrednosti hs, he i hi, a koje se moraju utvrditi.
Napomena: Primena deklarisane vrednosti spoljnjeg elementa zgrade za računanje toplotnih gubitaka nije striktno konzistentna na osnovu temperature suvog termometra unutrašnjeg zagrejanog vazduha. U većini praktičnih slučajeva, to je odgovarajuće, ali za ostakljene elemente sa relativno velikim površinama i naročito sa unutrašnjom niskom emisivnošću površine, mogu se javiti greške. Reference za izračunavanje toplotnih gubitaka su napravljene u [3], [4], [5] ili drugim relevantnim evropskim standardima.
4. Deklarisane vrednosti: Standardizovani granični uslovi
Za sve slučajeve gde su U vrednosti navedene u promotivne svrhe, moraju se koristiti dole navedeni standardizovani granični uslovi. Standarizovani granični uslovi za deklarisane vrednosti su:
r – toplotna otpornost soda stakla 1,0 mk/W
ε – korigovana emisivnost neprevučene soda i borosilikatne staklene površine 0,837
ΔT – temperaturna razlika između graničnih površina ostakljenja 15 K
Tm – srednja vrednost temperature gasnog prostora 283 K
σ – Stefan Bolemanova konstanta 5,67•10–8 W/(m²K)
he – spoljni koeficijent prelaza toplote za neprevučene soda staklene površine 23 W/(m²K)
hi – unutrašnji koeficijent prelaza toplote za neprevučene soda staklene površine 8 W/(m²K)
A – konstanta 0,035
n – eksponent 0,38
5. Izražavanje rezultata
5.1 U vrednosti
U vrednosti se moraju izražavati u W/(m2K) zaokruženo na jednu decimalu. Ako je druga decimala pet, mora se zaokružiti na višu vrednost.
Primer 1: 1,53 postaje 1,5
Primer 2: 1,55 postaje 1,6
Primer 3: 1,549 postaje 1,5
5.2 Emisivnost
Kada se emisivnost predstavlja u promotivnom materijalu mora se izražavati sa dve decimale, uz specifikovanje da li se radi o normalnoj ili korigovanoj emisivnosti.
5.3 Srednje vrednosti
Srednje vrednosti pri računanju ne smeju se zaokruživati.
6. Izveštaj o ispitivanju
6.1 Informacije koje sadrži izveštaj o ispitivanju
Izveštaj o ispitivanju mora sadržati sledeće elemente.
6.2 Identifikacija ostakljenja
– ukupna debljina ostakljenja (milimetara),
– debljina svake staklene ploče (milimetara),
– debljina svakog sloja materijala, ako postoji (milimetara),
– debljina gasnog prostora (milimetara),
– tip gasnog punjenja,
– položaj prevlake koja reflektuje infracrveno zračenje, ako postoji,
– nagib ostakljenja (ugao u odnosu na horizontalu),
– bilo koji drugi uslov koji odstupa od standardizovanih graničnih uslova.
6.3 Poprečni presek ostakljenja
Slika mora pokazati strukturu ostakljenja (položaj i debljinu staklenih ploča i slojeva materijala, položaj prevlake, položaj i debljinu gasnog prostora, tip gasnog punjenja.)
Slojevi stakla i drugih materijala i gasni prostori moraju se brojati počev od ploče okrenute napolje.
6.4 Rezultati
– korigovana emisivnost prevlake, u slučaju prevlake koje modifikuju emisivnosti,
– unutrašnji koeficijent prelaza toplote hi u slučaju prevlaka koje modifikuju emisivnost [W/(m²K)],
– ukupno provođenje toplote ostakljenja hi [W/(m²K)],
– U vrednost ostakljenja [W/(m²K)],
– hs, he i hi ako se koriste za izračunavanje projektovane U vrednosti, u kom slučaju se mora koristiti izraz „projektovana U vrednost“ [W/(m²K)].
7. Iteraciona procedura za ostakljenje sa više od jednog gasnog prostora
Za staklo sa više od jednog gasnog prostora (N > 1), izračunavanje se vrši iteracionom procedurom (primena u tabeli 2), gde se provodljivost gasnog prostora hs određuje na srednjoj temperaturi od 283 K, za svaki gasni prostor (uticaj koji malo odstupa od 283 K imaju na odgovarajuću preciznost može se zanemariti).
Za prvi korak iteracione procedure uzima se temperaturna razlika ΔT = 15/N (K) za svaki gasni prostor.
Uz dobijene provodljivosti gasnog prostora hs, nove ΔTs vrednosti se računaju iz jednačine (12).

Ove ΔTs vrednosti se koriste za drugu iteraciju i tako redom.
Procedura iteracije se ponavlja sve dok otpornost ostakljenja iz jednačine (2) ne konvergira na treću važnu cifru (obično ne više od tri iteracije, u posebnim slučajevima četiri). Ova konvergentna otpornost se koristi u jednačinama (2) i (1) za izračunavanje U vrednosti.
U slučajevima gde su početne vrednosti hs jednake, odgovarajuće temperaturne razlike su date pomoću ΔT = 15/N (K), a iteracija nije potrebna.
Tabela 2. Primer iteracije za trostruko ostakljenje sa sledećim karakteristikama: struktura 4/12/4/16/4: jedna prevlaka u drugom prostoru sa εn = 0,03 (ε = 0,037); oba prostora punjena argonom (90 % punjenja)
8. Određivanje normalne i korigovane emisivnosti
8.1 Određivanje normalne emisivnosti
Normalna emisivnost, εn, prevučene površine izračunava se iz krive refleksije spektra, mereno pod normalnim upadnim uglom pomoću infracrvenog spektrafotometra sa opremom za spektralnu refleksiju, korišćenjem sledeće procedure.
Normalna refleksija Rn za srednju temperaturu od 283 K se određuje iz krive uzimanjem matematičke prosečne vrednosti refleksije spektra Rn(λ), mereno na 30 talasnih dužina datih u tabeli 3.

Normala emisivnosti εn na 283 K je data pomoću:

Napomena: Za druga temperaturna okruženja emisivnost ne zavisi isključivo od srednje temperature.
Tabela 3: Trideset izabranih talasnih dužina λi za određivanje normalne refleksije Rn na 283 K
*50μm je izabrana vrednost zato što je ova talasna dužina granična vrednost za većinu spektrometara koji se mogu kupiti. Ova aproksimacija ima zanemarljiv efekat na preciznost računanja.
8.2 Određivanje korigovane emisivnosti ε
Korigovana emisivnost ε, određuje se množenjem normalne emisivnosti odnosom datim u tabeli 4. Druge vrednosti se sa odgovarajućom preciznošću dobijaju linearnom interpolacijom ili ekstrapolacijom.
Tabela 4: Faktori za izračunavanje korigovane emisivnosti ε iz normalne emisivnosti εn
SIMBOLI
A – konstanta
C – specifični toplotni kapacitet gasa – J/kgK
d – debljina sloja materijala (stakla ili alternativnog materijala za staklo) – m
F – zapremina udeo
h – koeficijent prelaza toplote – W/(m²K)
– Prolaz toplote kondukcijom – W/(m²K)
M – broj slojeva materijala n – eksponent N – broj prostora između staklenih ploča r – toplotna otpornost stakla (materijala za ostakljivanje) – mK/W
P – osobine gasa Rn – normalna refleksija (upravna na površinu) s – širina gasnog prostora – m
T – apsolutna temperatura – K
U – koeficijent prolaza toplote – W/(m²K)
ΔT – razlika temperature – K
ε – korigovana emisivnost εn – normalna emisivnost (upravna na površinu)
ρ – gustina gasa – kg/m³
σ – Stefan-Bolcmanova konstanta 5,67•10-8 – W/(m²K4)
μ – Dinamički viskozitet gasa – kg/(m•s)
λ – Toplotna provodljivost gasa u prostoru – W/(mK)
υ – Temperatura u Celzijusima – ºC
BEZDIMENZIONALNI BROJEVI
– Gr – Grashofov broj
– Nu – Nuseltov broj
– Pr – Prandtlov broj
INDEKSI
C – konvekcija
e – spoljašnji
i – unutrašnji
j – joti sloj materijala
k – kati prostor
g – gas
LITERATURA
[1] EN ISO 10077-1. Thermal performance of windows, doors and shutters – Calculation of thermal transmittance – Part 1: General (ISO 10077-1, 2006)
[2] EN 410, Glass in building – Determination of luminous and solar characteristics of glazing
[3] EN ISO 6946, Building components and building elements – Thermal resistance and thermal transmittance – Calculation method (ISO 6946, 2007)
[4] EN ISO 13790, Energy performance of buildings – Calculation of energy use for space heating and cooling (ISO 13790:2008)
[5] EN ISO 10211, Thermal bridges in building construction – Heat flows and surface temperatures Part 1: Detailed calculations (ISO 10211:2007)
[6] EN ISO 10456, Building materials and products – Hygrothermal properties – Tabulated design values and procedures for deterimining declared and design thermal values (ISO 10456:2007)
PRILOG A
Opšti termini
U tabeli A1 daje se lista opštih termina na srpskom i engleskom jeziku. Termini na engleskom jeziku koji se navode u ovoj listi često se javljaju u međunarodnim (ISO ili IEC) i evropskim standardima, pa ovu listu treba koristiti prilikom njihovog prevođenja na srpski jezik.
Tabela A1: Opšti termini
Termin na engleskom jeziku Termin na srpskom jeziku
Abbreviation Skraćenica
Abbraviated procedure Skraćeni postupak
Accelerated procedure Ubrzani postupak
Addendum Dodatak
Amendment Izmena
Annex Prilog
Appendix Prilog
Bibliographical reference Bibliografska referenca
Brief history Kratak istorijat
To cancel Povući
Central office Centralni sekretarijat
Certification Sertifikacija
Chapter Poglavlje
Classification Klasifikacija
Code of practice Pravilo dobre prakse
Combined voting Kombinovano glasanje
Concepts Pojmovi, osnovne postavke
Common modification Opšta modifikacija
Contents Sadržaj
Consolidated Objedinjen
Corrigendum Ispravka
Date of publication Datum objavljivanja
Date of withdrowal Datum povlačenja
Definition Definicija
Definitive text Definitivni tekst
Description Opis, opisivanje
Designation Oznaka, označavanje
Directive Direktiva
Division (of a standard) Odeljak (standardi)
Drafting Izrada nacrta (dokumenta)
Editing committee Redakcioni komitet
Erratum Greška
Explanatory note Napomena sa objašnjenjem
Fast track procedure Ubrzani postupak
Field of application Područje primene
Figure Slika
Foreword Predgovor, preambula (u IEC)
Quidance Smernica, uputstvo
Quide Smernica, uputstvo
Quideline Smernica, uputstvo
Implementation Primena, uvođenje
Index Registar
Informative annex Informativni prilog
Introduction Uvod
Labelling Stavljanje etikete, obeležavanje
Mandate Mandat
Marking Označavanje, oznaka
May Sme, može
Modification Modifikacija; modifikovanje
Need not Ne mora
Nomenclature Nomenklatura
Normative annex Normativni prilog
Normative documents Normativni dokumenti
Normative reference Normativna referenca
Note Napomena
Object Predmet, objekat
Optional (element) Neobavezni (element), Paragraph Pasus, stav
Part Deo
Preface (in IEC) Predgovor (u IEC)
Preliminary stage Preliminarna faza
Preparatory stage Faza pripreme (izrade)
Presentation Prikaz, prikazivanje
Priority Prioritet
Procedure Procedura, postupak
Product standard Standard za proizvod
Proposal stage Faza predloga (standarda)
Provision Odredba
Publication Publikacija, objavljivanje
Publication stage Faza objavljivanja
Quotation Navod, navođenje
Recommendation Preporuka
Reference Referenca
Reference document Referentni dokument
Regulations Uredba
To replace Zameniti
Report of voting Izveštaj o glasanju
Reporting of secretarial Izveštaj sekretarijata
Reproduction Reprodukcija
Requirement Zahtev
Revision Revizija
Shall Mora
Shall not Ne sme
Should Treba
Should not Ne treba
SI unit Jedinica SI
Statement Iskaz, izjava
State of the art Stanje razvijenosti tehnike
Subclause Podtačka
Supplementary elements Dopunski elementi
Symbol Simbol
Table of contents Sadržaj
Technical corrigenda Tehnička ispravka
Technical drawing Tehnički crtež
Technical manag. group Tehnički upravni odbor
Terminology Terminologija
Terms and definition Termini i definicije
Title Naslov
Tolerances Dozvoljena odstupanja,
tolerancija
Unit Jedinica
Vocabulary Rečnik, vokabular
Withdrawal Povlačenje
Working document Radni dokument
Working group Radna grupa
Autori: Prof. dr Dragan Škobalj, Ivan Nikolić, dipl. inž.














